08-JUL-2010

Lake Vilar, The Final Lake In Banyoles

0.1um Filter from Lake Vilar

May 10th 2010

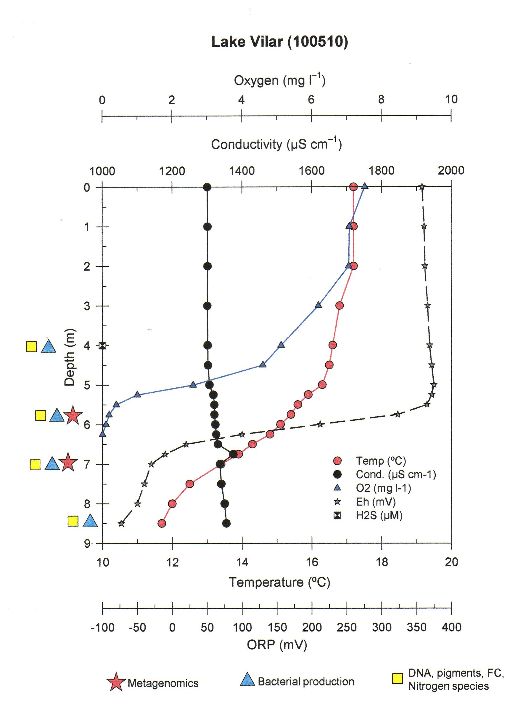
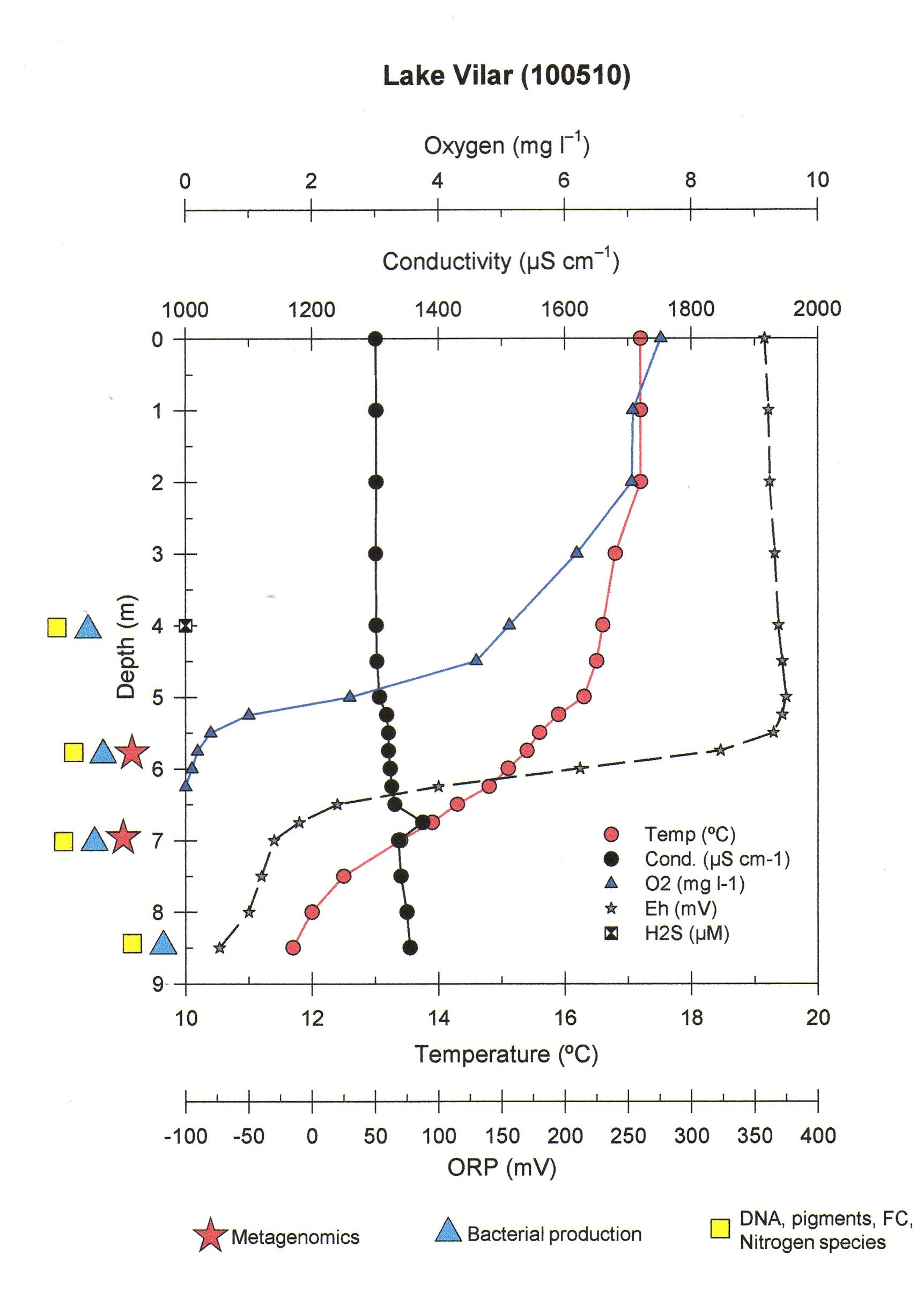
On Monday May 10th we headed back to sample the last lake in the Banyoles area. Lake Vilar is another meromictic lake located about 1 kilometer (1/2 mile) from Lake Siso and has a maximum depth of 10 meters (32 feet). Sulfide is present during the entire year, although restricted to the deeper, high conductivity waters. A stable chemocline exists at 5 meters (16 feet) between the oxygenated surface and the sulfide-rich bottom. Here, dense populations of photosynthetic sulfur bacteria can develop when enough light penetrates.

Lake Vilar Information
Lake Vilar Information

Like the previous two lake sample we rowed out to the deepest section of Lake Vilar and collected a profile of the water column. So we could compare all three lake systems we collected in the same region in the water column (above anoxic zone and in the anoxic zone)

Lake Vilar Profile
Lake Vilar Profile

The appearance of every filter from each lake site in the Banyoles region was very distinct. With all the different environmental and chemical factors that vary from all three lake sites it is going to be very interesting to see the microbial diversity in the sample sites and different depths within the same lake system. The entire team was very happy with the sample trips and what we accomplished the last 3 days, I myself was disappointed with one thing............I never saw the Banyoles Monster..........I heard all the stories, I called him out, I even mocked him (this is why I sent Chris in the dinghy and stayed on land!), but no sign of him!! For more about the Banyoles Monster click here.